A new paper by Luigi Mancini et al reports transits of the hot-Jupiter exoplanet WASP-36b in multiple colours. The point is to record the transit depth as a function of wavelength, and thus deduce how opaque the planet’s atmosphere is at different wavelengths. That, in turn, might tell us what the atmosphere is made of.
To do this Mancini et al have used the GROND instrument on ESO’s 2.2-m telescope, which records light in four different colours simultaneously. They observed four different transits of WASP-36b over 2012 to 2015.
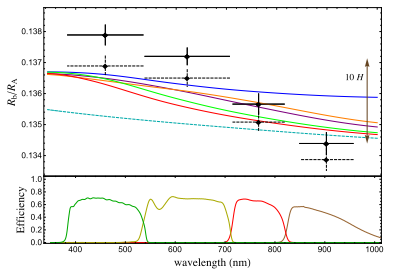
The result is the figure below showing the transit depth in the four different passbands (greater depth implying a larger planet radius, plotted as the ratio of planet to star, Rb/RA).
The black crosses show the transit depth. The dashed versions are corrected for possible star-spots in the transit light curves. The coloured lines represent different atmospheric models.
The data show a clear and strong trend to greater depth in the blue, steeper than would be explained by any of the models shown. This means that something in the planet’s atmosphere is absorbing strongly at bluer wavelengths. What is causing this is unclear, and will require further investigation.



