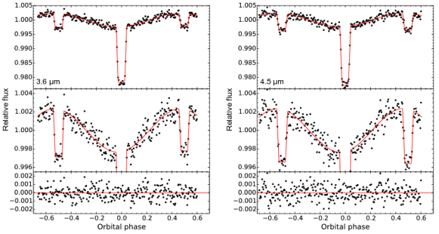
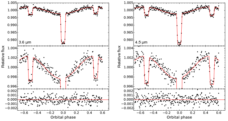
A team led by Ian Wong of Caltech have announced observations of the hot Jupiters WASP-19b and HAT-P-7b, looking at infra-red light using the Spitzer Space Telescope. By observing the planets around their entire orbit they detect the transit, caused by the planet passing in front of the host star, the secondary eclipse, when the planet passes behind the star, and the “phase curve” caused by the changing visibility of the heated face of the planet.

The figure shows the infra-red light (“heat”) of the WASP-19 system in two pass bands (3.6 microns and 4.5 microns). The middle panels are expanded to show the phase curve, while the lowest panels show the residuals about a fitted model (the red line).
By fitting all three features, the authors can constrain the temperatures of the “day time” heated face of the planet (which faces towards us near the secondary eclipse) and of the “night time” face of the planet (which faces us near transit). From there they can estimate the “recirculation”, how efficient the planet is at redistributing heat from the day-time face to the night-time face.
Such short-period planets are phase-locked by tidal forces, and so always present the same face to the star. Thus redistribution of heat energy requires powerful winds circling the planet.
An interesting plot by Wong et al shows the recirculation in different hot Jupiters against the albedo (the fraction of energy that is reflected).

There appear to be two groups of hot Jupiters: ones with albedos near 0.4, such as WASP-19b, and ones with much lower albedos, such as WASP-14b and WASP-18b. So far there is no simple explanation for this difference.
Further, the recirculation efficiency also appears to be different in different systems. Wong et al suggest that the hot Jupiters experiencing the highest irradiation, such as WASP-19b, are least efficient at redistributing heat, while
longer-period, less-irradiated hot Jupiters such as HD209458b and HD189733b are better at redistribution.